
Wideband reflectarray antenna based on ME dipole with continuous phase control using varactor diodes
Copyright © The Korean Society of Marine Engineering
This is an Open Access article distributed under the terms of the Creative Commons Attribution Non-Commercial License (http://creativecommons.org/licenses/by-nc/3.0), which permits unrestricted non-commercial use, distribution, and reproduction in any medium, provided the original work is properly cited.
Abstract
Electronically reconfigurable reflectarray antennas have been extensively investigated for beam-scanning applications in satellite and wireless communication systems. However, conventional reconfigurable reflectarray unit cells have narrow bandwidths and limited phase control. This study proposes a wideband reconfigurable reflectarray unit cell based on a magneto-electric (ME) dipole integrated with a varactor diode. The ME dipole inherently provides broad resonant characteristics, whereas the varactor diode enables continuous phase tuning based on the applied bias voltage. The proposed unit cell operates in the range of 10–14 GHz, achieves a 20% bandwidth, and provides a continuous phase response of approximately 350° through bias-voltage variation. Based on this unit cell, a 16 × 16 reflectarray was designed and simulated, which demonstrated beam-scanning performance within ±60° across the operating frequency band. Compared with previously reported varactor-based reflectarray antennas, the proposed structure offers a 20% reconfigurable bandwidth and a high gain of 19.9 dBi. These results demonstrate the potential of the proposed design for wideband, high-gain beam-scanning applications in radar and next-generation wireless communication systems.
Keywords:
Antenna, Reconfigurable Antenna, Array antenna, Beam scanning, Phase shift1. Introduction
Reflectarray antennas have emerged as a promising alternative to conventional phased arrays and parabolic reflectors because they combine the advantages of low-profile structures, spatial feeding, and cost-effective implementation [1]. By arranging an array of reflecting elements on a surface, the incident wave from the feed antenna can be manipulated via meticulously engineered phase shifts in each unit cell to obtain the desired radiation pattern. Because of these advantages, reflectarray antennas have been widely investigated for modern radar and wireless communication systems that require beam steering, multiband operation, and reconfigurability [2]-[3].
In particular, reconfigurable reflectarray antennas have garnered significant attention because they enable active control of the reflection phase without requiring bulky phase shifters or expensive transmit/receive modules. Phase tuning is typically achieved using tunable components, such as varactor diodes, PIN diodes, and MEMS switches, or emerging materials, including liquid crystals and graphene [4]. These phase-control techniques can generally be categorized into continuous phase tuning and discrete phase quantization [5]. Continuous tuning using varactor diodes offers the advantage of fine phase adjustment. However, it exhibits disadvantages such as nonlinear characteristics, a limited phase variation range, and a narrow operational bandwidth. Meanwhile, phase-quantization schemes, such as 1-bit or 2-bit control, simplify the biasing and control circuits but impose restrictions on the phase resolution and bandwidth [6]-[8].
Despite offering the advantage of electronic reconfigurability, most active reflectarray antennas are limited by their inherently narrow bandwidths. In varactor-based designs, the achievable phase range depends significantly on frequency, thus resulting in phase dispersion; consequently, the operating bandwidth is typically limited to less than 15% [1][5]. Several approaches have been investigated to address this problem, including multiresonant unit-cell geometries, stacked or aperture-coupled configurations, and the use of tunable materials such as liquid crystals and graphene substrates [2][6]-[8]. Although these methods have successfully enhanced the bandwidth of passive reflectarrays, extending the operational bandwidth in active designs remains challenging because the integration of lumped tuning elements introduces impedance mismatches and compromises stability.
In this study, we propose a wideband reflectarray unit cell based on a magneto-electric (ME) dipole to address these limitations. Based on the literature [9]-[11], an ME dipole inherently provides a broader resonant response than conventional patch-based elements but lacks reconfigurable properties. When combined with varactor diodes, it enables continuous phase control over a wide frequency range. The proposed structure is designed and optimized to achieve continuous phase tuning and wideband operation simultaneously, thereby effectively overcoming the narrow-band limitation, which has been regarded as the major disadvantage of previous active reflectarray designs.
2. Unit-Cell Design
Figure 1 shows the overall structure of the proposed electronically reconfigurable unit cell. The proposed unit cell is designed based on a basic ME dipole structure to achieve a wide bandwidth [9]-[11]. The operating frequency range is 10–14 GHz, which is suitable for military radar systems. As shown in Figure 1 (a), the proposed unit cell comprises a multilayer substrate. A single 0.101 mm Rogers RO4450F was used to bond two Rogers RO4003C boards (1.524 and 0.813 mm), and the bottom surface of the second Rogers RO4003C board was used as the ground plane. A Rogers RO4450F substrate measuring 0.101 mm thick was used to couple the Rogers RO4350 substrate, i.e., the last substrate in the design, to the ground plane. Each unit cell measured 8 mm × 8 mm.
To reconfigure the unit cell, a varactor diode was placed between two strips on the top surface of the unit cell, as shown in Figure 1 (c). The two patches on the left were connected via Strip 1. Because the unit cell is illuminated by an x-polarized electromagnetic wave, only current flowing along the x-axis exists. Therefore, Strip 1 negligibly affects thereflection performance. However, because Strip 1 was connected to the patches through four pairs of shorting vias, it can be regarded as a shorting path for the DC. To provide a bias voltage to Strip 2, a metallic via of diameter D was implemented to connect Strip 2 to the bias circuit. The diameter D of the via was 0.6 mm, as indicated in Figure 1(d). The bias circuit was designed as a fan-shaped open stub to operate as a low-pass filter. This structure can separate RF and DC signals over a wide bandwidth [12].
Applying different voltages to the DC bias line changes the electrical length of the varactor diode. These properties can be used to obtain different reflection phase responses. To verify the performance of the proposed wideband reflector array antenna unit cell, simulations were performed in Ansys HFSSTM using periodic boundary conditions and Floquet ports.
The varactor diode used in the proposed unit cell is MACOM's MARV-011020-1411, which features a variable capacitance ranging from 0.025 to 0.3 pF. The performance of the unit cell was simulated by replacing the varactor diode with an equivalent circuit using a capacitor. Figure 2 shows the phase of the unit cell with respect to the variable range of the capacitor at a center frequency of 12 GHz. The phase range of the unit cell varied depending on the length of Strip 2. Strips 1 and 2 are 3 and 4.5 mm long, respectively. When the strip length was 4.5 mm, the unit cell exhibited the widest phase response of approximately 350° in the capacitance range of the varactor.
In this study, the unit cell was simulated for an x-polarized incident wave, and the reflection coefficients were defined as
| (1) |
where the subscripts ''incident'' and ''reflect'' represent the incident and reflected waves, respectively. The reflection coefficients of the unit cell for the reflectarray typically satisfy the following conditions:
| (2) |
Figure 3 shows the magnitude of the simulated reflection coefficient when a variable capacitance was applied to the unit cell. As shown, Equation 2 was satisfied in the operating frequency band of 10–14 GHz when all variable capacitances from 0.025 to 0.3 pF were applied.
3. Array Simulation Results
The proposed electronically reconfigurable unit cell was arranged in a 16×16 array to evaluate its beam-scanning performance. The aperture size of the array was 160 mm × 160 mm, which corresponds to 6.4λ × 6.4λ at the center frequency of 12 GHz. For optimal array performance, the focal length-to-diameter ratio was set to 1.0, which was determined via full-wave electromagnetic simulations, thereby maximizing the array gain. Additionally, the incident wave was assumed to be linearly polarized along the x-axis.
3.1 Phase Distribution
The reflection phase shift to be applied to each unit cell in the reflectarray antenna is specified as follows:
| (3) |
where 𝛷out denotes the desired phase of the reflected wave at each unit cell and 𝛷incident represents the incident electric-field phase at the center of the unit cell.
The desired outgoing phase for the reflected wave from each unit cell is expressed as
| (4) |
where k and (θ0, ϕ0) represent the wave number and direction of the main beam, respectively, and ϕref is the phase-reference constant.
The phase of the incident electric field at the center of the unit cell is expressed as
| (5) |
where Ei represents the incident electric field. The electric field is expressed as
| (6) |
where rh denotes the distance between the center coordinates of the feed horn antenna and the unit-cell center.
The desired reflection phase shift of each unit cell was derived using Equations (3)-(5) and then mapped onto the corresponding capacitance values. Since the proposed unit cell cannot encompass the entire 0° to 360° phase range, an offset of ±20° was applied in the simulations.
3.2 Simulation Results
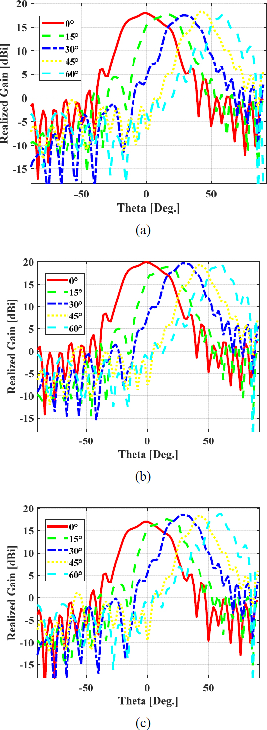
The radiation pattern of the proposed reflectarray antenna was simulated at five frequency points within the operating frequency range of 10–14 GHz. At each frequency point, the beam was scanned from θ0=0° to θ0=60° at 15° increments. Figure 4 shows the simulated radiation patterns of the proposed reflectarray antenna in the XOZ plane.
Table 1 shows a comparison of the proposed reconfigurable reflectarray antenna prototype using varactor diodes with recently reported reflectarray antennas of similar configurations. Compared with reflectarray antennas reported in the literature [13]–[17], the proposed reflectarray antenna offers two main advantages. First, the bandwidth of the proposed unit cell is 20%, which is the widest among the listed designs. Second, in terms of the maximum realized gain, the proposed reflectarray antenna achieves 19.93 dBi at 12 GHz, which is higher than those reported in the literature.
4. Conclusion
This paper presents an electronically reconfigurable reflectarray antenna that uses varactor diodes. The proposed unit cell employs the basic structure of a ME dipole. Based on simulation results, the unit cell exhibited a wide operational frequency bandwidth of 20%. Additionally, the unit cell achieved a reflection coefficient greater than –2 dB at | Rxx | and less than –12 dB at | Ryx |. By incorporating a varactor diode, the reflection phase can be continuously controlled and mapped to a phase range of approximately 350°, thus enabling each unit cell to realize the desired reflection phase shift with high gain. A 16×16 array of the proposed unit cell was simulated, which demonstrated excellent beam-scanning performance with a scanning range of ±60° within the operating frequency band of 10–14 GHz. Compared with previously reported reflectarray antennas, the antenna presented herein offers the advantages of a wider reconfigurable bandwidth and higher gain, thus rendering it particularly suitable for beam-scanning applications in various wireless communication systems.
Acknowledgments
This research was supported by Basic Science Research Program through the National Research Foundation of Korea (NRF) funded by the Ministry of Education (2021R1I1A3044405/ RS-2025-25399958) and by the Regional Innovation System & Education(RISE) program through the Jeonbuk RISE Center, funded by the Ministry of Education(MOE) and the Jeonbuk State, Republic of Korea.(2025-RISE-13-WKU).
Author Contributions
Conceptualization, D.-W. Seo; Methodology, J.-Y. Ha; Software, J.-Y. Ha; Formal Analysis, J.-Y. Ha; Investigation J.-Y. Ha; Resources, D.-W. Seo; Data Curation J.-Y. Ha; Writing-Original Draft Preparation, J.-Y. Ha; Writing-Review & Editing, D.-W. Seo; Visualization, J.-Y. Ha; Supervision, D.-W. Seo; Project Administration, D.-W. Seo; Funding Acquisition, D.-W. Seo.
References
- E. Carrasco and J. A. Encinar, “Reflectarray antennas: A review,” Forum for Electromagnetic Research Methods and Application Technologies, vol. 16, pp. 16, Aug. 2016.
-
J. Huang and R. J. Pogorzelski, “A Ka-band microstrip reflectarray with elements having variable rotation angles,” IEEE transactions on Antennas and Propagation, vol. 46, no. 5, pp. 650-656, May. 1998.
[https://doi.org/10.1109/8.668907]
-
S. Bang, H. Kim, and J. Oh, “Enhancing 2-D beam scanning capability through extended transmission paths in a liquid crystal-based transmitarray antenna for mmWave communications,” Journal of Electromagnetic Engineering and Science, vol. 25, no. 1, pp. 85-91, 2025.
[https://doi.org/10.26866/jees.2025.1.r.281]
-
S. -G. Kim, I. Kim, Y. Yu, I. -P. Hong, K. -W. Lee, S. Jung, M. -S. Lee, and J. -G. Yook, “Design and implementation of an X-band 1-bit reconfigurable transmitarray system with a space-time coding scheme,” Journal of Electromagnetic Engineering and Science, vol. 25, no. 3, pp. 260-270, May 2025.
[https://doi.org/10.26866/jees.2025.3.r.296]
-
P. Nayeri, F. Yang, and A. Z. Elsherbeni, “Beam-scanning reflectarray antennas: A technical overview and state of the art,” IEEE Antennas and Propagation Magazine, vol. 57, no. 4, pp. 32-47, 2015.
[https://doi.org/10.1109/MAP.2015.2453883]
-
H. Kamoda, T. Iwasaki, J. Tsumochi, T. Kuki, and O. Hashimoto, “60-GHz electronically reconfigurable large reflectarray using single-bit phase shifters,” IEEE transactions on Antennas and Propagation, vol. 59, no. 7, pp. 2524-2531, Jul. 2011.
[https://doi.org/10.1109/TAP.2011.2152338]
-
T. Debogovic and J. Perruisseau-Carrier, “Low loss MEMS-reconfigurable 1-bit reflectarray cell with dual-linear polarization,” IEEE Transactions on Antennas and Propagation, vol. 62, no. 10, pp. 5055-5060, Oct. 2014.
[https://doi.org/10.1109/TAP.2014.2344100]
-
H. Yang, F. Yang, S. Xu, Y. Mao, M. Li, X. Cao, and J. Gao, “A 1-bit 10×10 reconfigurable reflectarray antenna: design, optimization, and experiment,” IEEE Transactions on Antennas and Propagation, vol. 64, no. 6, pp. 2246–2254, Jun. 2016.
[https://doi.org/10.1109/TAP.2016.2550178]
-
Z. C. Hao, Q. Yuan, B. W. Li, and G. Q. Luo, “Wideband W -band substrate-integrated waveguide magnetoelectric (ME) dipole array antenna,” IEEE Transactions on Antennas and Propagation, vol. 66, no. 6, pp. 3195-3200, 2018.
[https://doi.org/10.1109/TAP.2018.2820503]
-
S. X. Ta, and I. Park, “Crossed dipole loaded with magneto-electric dipole for wideband and wide-beam circularly polarized radiation,” IEEE Antennas and Wireless Propagation Letters, vol. 14, pp. 358-361, 2015.
[https://doi.org/10.1109/LAWP.2014.2363944]
-
K. M. Mak, K. K. So, H. W. Lai, K. M. Luk, “A magnetoelectric dipole leaky-wave antenna for millimeter-wave application,” IEEE Transactions on Antennas and Propagation, vol. 65, no. 12, pp. 6395-6402, 2017.
[https://doi.org/10.1109/TAP.2017.2722868]
-
B. J. Xiang, X. Dai, and K. M. Luk, “A wideband low-cost reconfigurable reflectarray antenna with 1-bit resolution,” IEEE Transactions on Antennas and Propagation, vol. 70, no. 9, pp. 7439-7447, 2022.
[https://doi.org/10.1109/TAP.2022.3176868]
-
S. Costanzo, F. Venneri, A. Raffo, and G. D. Massa, “Dual-layer single-varactor driven reflectarray cell for broad-band beam-steering and frequency tunable applications,” IEEE Access, vol. 6, pp. 71793-71800, 2018.
[https://doi.org/10.1109/ACCESS.2018.2882093]
-
J. M. Baracco, P. Ratajczak, P. Brachat, J. M. Fargeas, and G. Toso, “Ka-band reconfigurable reflectarrays using varactor technology for space applications: A proposed design,” IEEE Antennas and Propagation Magazine, vol. 64, no. 1, pp. 27-38, 2022.
[https://doi.org/10.1109/MAP.2021.3133502]
-
J. Y. Lau and S. V. Hum, “Reconfigurable transmitarray design approaches for beamforming applications,” IEEE Transactions on Antennas and Propagation, vol. 60, no. 12, pp. 5679-5689, 2012.
[https://doi.org/10.1109/TAP.2012.2213054]
-
A. Clemente, L. Dussopt, R. Sauleau, P. Potier, and P. Pouliguen, “Wideband 400-element electronically reconfigurable transmitarray in X band,” IEEE Transactions on Antennas and Propagation, vol. 61, no. 10, pp. 5017-5027, 2013.
[https://doi.org/10.1109/TAP.2013.2271493]
-
C. Huang, W. Pan, X. Ma, B. Zhao, J. Cui, and X. Luo, “Using reconfigurable transmitarray to achieve beam-steering and polarization manipulation applications,” IEEE Transactions on Antennas and Propagation, vol. 63, no. 11, pp. 4801-4810, 2015.
[https://doi.org/10.1109/TAP.2015.2479648]




